无法使用此链接。检查链接是否以 "http://" 或 "https://" 开头,然后重试。
无法处理此搜索。请尝试其他图像或关键字。
试用视觉搜索
使用图像搜索、识别对象和文本、翻译或解决问题
将一个或多个图像拖到此处,
上传图像
或
打开相机
你提供的照片可能用于改善必应图片处理服务。
隐私政策
|
使用条款
将图像放置到任意位置以开始搜索
要使用可视化搜索,请在浏览器中启用相机
English
全部
搜索
图片
灵感
创建
集合
视频
地图
资讯
更多
购物
航班
旅游
笔记本
自动播放所有 GIF
在这里更改自动播放及其他图像设置
自动播放所有 GIF
拨动开关以打开
自动播放 GIF
图片尺寸
全部
小
中
大
特大
至少... *
自定义宽度
x
自定义高度
像素
请为宽度和高度输入一个数字
颜色
全部
仅限颜色
黑白
类型
全部
照片
剪贴画
素描
动画 GIF
透明
版式
全部
方形
横版
高
人物
全部
仅脸部
半身像
日期
全部
过去 24 小时
过去一周
过去一个月
去年
授权
全部
所有创作共用
公共领域
免费分享和使用
在商业上免费分享和使用
免费修改、分享和使用
在商业上免费修改、分享和使用
详细了解
清除筛选条件
安全搜索:
中等
严格
中等(默认)
关闭
筛选器
1200×628
byjus.com
Infinite Series Formula | Sum Of Infinite Series Formula (Algebra)
1000×470
geeksforgeeks.org
Sum of Infinite Geometric Series - GeeksforGeeks
894×364
chegg.com
Solved Problem 1 (Analytical) The Finite Sum Formula and the | Chegg.com
562×382
Chegg
Solved Question 2 Prove the following relationships. Finite | Ch…
966×430
Chegg
Solved Question 2 Prove the following relationships. » | Chegg.com
832×638
Chegg
Solved Summing Infinite Series: Find a formula for the | Chegg…
885×558
cuemath.com
Infinite Series Formula - Learn Formula for Calculating Infinite Series
4:41
study.com
Sum of Infinite Geometric Series | Formula, Sequence & Examples
1200×600
adda247.com
Sum of Infinite Terms of GP Formula Meaning and Examples
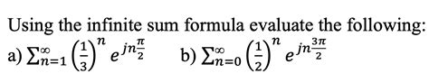
1244×244
chegg.com
Solved Using the infinite sum formula evaluate the | Chegg.com
1042×423
cuemath.com
Infinite Geometric Series Formula - Learn the Formula of Infinite ...
518×121
chegg.com
Solved Using the infinite sum formula evaluate the | Chegg.com
632×426
cuemath.com
Sum of Infinite GP - Formula | Sum of Infinite Terms of GP
610×142
chegg.com
Solved The infinite sum formula can be used to verify that a | Chegg.com
4080×3072
chegg.com
Solved Use the formula for the sum of an infinite geometric | Chegg.com
231×700
chegg.com
Solved Use a formula to find …
1280×720
ar.inspiredpencil.com
Infinite Geometric Series Formula
1048×630
mathsux.org
Sum of Infinite Geometric Sequence - Math Lessons
734×492
mathsux.org
Infinite Geometric Series Formula - Math Lessons
1080×1640
www.reddit.com
Sum of infinite series : r/maths
576×504
chilimath.com
Infinite Geometric Series Formula | ChiliMath
575×567
chilimath.com
Infinite Geometric Series Formula | Ch…
1200×600
adda247.com
GP Formula- Sum of n Terms, Sum of Infinite GP
1280×720
monica-has-parsons.blogspot.com
Sum of Infinite Geometric Series - Monica-has-Parsons
1280×720
jaydantustrickland.blogspot.com
Sum to Infinity Formula - JaydantuStrickland
1848×1030
radfordmathematics.com
Infinite Sum of a Geometric Sequence - Converging Geometric Series
860×430
careers360.com
Sum of an Infinite Arithmetic Geometric Series
1024×564
numerade.com
SOLVED: How is finding the sum of an infinite geometric series ...
830×400
blog.keithmcnulty.org
How to Sum an Infinite Series. Comparing accurate theory and… | by ...
184×454
www.reddit.com
Please check my solution for th…
1183×668
mathsathome.com
How to Find the Sum to Infinity of a Geometric Series – mathsathome.com
1182×667
mathsathome.com
How to Find the Sum to Infinity of a Geometric Series – mathsathome.com
768×435
mathsathome.com
How to Find the Sum to Infinity of a Geometric Series – mathsathome.com
700×388
chegg.com
Solved Evaluate the following infinite sums. In most cases, | Chegg.com
1236×230
chegg.com
Solved 4) Calculate the infinite sum | Chegg.com
某些结果已被隐藏,因为你可能无法访问这些结果。
显示无法访问的结果
查看更多图片
为你推荐的项目
广告
报告不当内容
请选择下列任一选项。
无关
低俗内容
成人
儿童性侵犯
反馈