你提供的照片可能用于改善必应图片处理服务。
隐私政策
|
使用条款
无法使用此链接。检查链接是否以 "http://" 或 "https://" 开头,然后重试。
无法处理此搜索。请尝试其他图像或关键字。
试用视觉搜索
使用图像搜索、识别对象和文本、翻译或解决问题
将一个或多个图像拖到此处,
上传图像
或
打开相机
将图像放到此处以开始搜索
要使用可视化搜索,请在浏览器中启用相机
English
全部
搜索
图片
灵感
创建
集合
视频
地图
资讯
更多
购物
航班
旅游
笔记本
自动播放所有 GIF
在这里更改自动播放及其他图像设置
自动播放所有 GIF
拨动开关以打开
自动播放 GIF
图片尺寸
全部
小
中
大
特大
至少... *
自定义宽度
x
自定义高度
像素
请为宽度和高度输入一个数字
颜色
全部
仅限颜色
黑白
类型
全部
照片
剪贴画
素描
动画 GIF
透明
版式
全部
方形
横版
高
人物
全部
仅脸部
半身像
日期
全部
过去 24 小时
过去一周
过去一个月
去年
授权
全部
所有创作共用
公共领域
免费分享和使用
在商业上免费分享和使用
免费修改、分享和使用
在商业上免费修改、分享和使用
详细了解
清除筛选条件
安全搜索:
中等
严格
中等(默认)
关闭
筛选器
1043×404
gauthmath.com
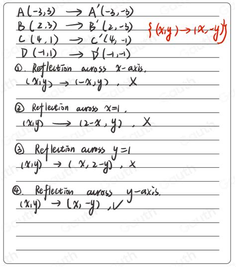
Solved: . State the line of reflection. Reflection across x-axis ...
664×750
gauthmath.com
Solved: State the line of reflection. Reflec…
1018×387
gauthmath.com
Solved: State the line of reflection. a Reflection across x Reflection ...
2160×1620
mungfali.com
Reflection Matrix
345×344
onlinemath4all.com
Reflection Transformation Matrix
454×626
onlinemath4all.com
Reflection Transformatio…
336×341
onlinemath4all.com
Reflection Transformation Matrix
566×151
chegg.com
Solved The matrix A= represents a reflection across a line L | Chegg.com
1024×774
chegg.com
Solved (12 points - Matrix for reflection across a line in | Ch…
700×242
chegg.com
Solved 10. (a) Show that the matrix giving reflection across | Chegg.com
630×634
wtmaths.com
Reflection
480×360
expii.com
Matrix Reflection of a Figure - Expii
1024×774
chegg.com
5. (12 points - Matrix for reflection across a line | Chegg.com
384×341
onlinemath4all.com
Reflection Transformation Matrix
653×153
Stack Exchange
linear algebra - Form of Matrix for Reflection about a Line ...
2046×431
chegg.com
Solved A reflection in R2 across a line L through the origin | Chegg.com
1024×768
brandinggilit.weebly.com
Matrix for reflection over y axis - brandinggilit
1280×720
storage.googleapis.com
What Is Reflection Across Line Y X at Laverne Kelleher blog
1280×720
storage.googleapis.com
What Is Reflection Across Line Y X at Laverne Kelleher blog
629×457
Stack Exchange
matrices - Reflect point across line with matrix - Mathematics Stack ...
396×143
Stack Exchange
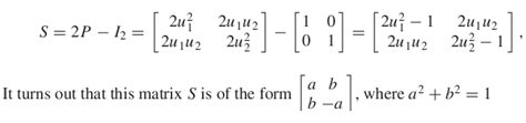
linear algebra - Interesting property of reflection matrix ...
637×774
storyofmathematics.com
Line of Reflection - Explanation and Ex…
643×825
storyofmathematics.com
Line of Reflection - Ex…
1024×923
storyofmathematics.com
Line of Reflection - Explanation and E…
565×777
storyofmathematics.com
Line of Reflection - Ex…
1536×768
storyofmathematics.com
Line of Reflection - Explanation and Examples - The Story of ...
1024×595
storyofmathematics.com
Line of Reflection - Explanation and Examples - The Story of ...
1024×772
storyofmathematics.com
Line of Reflection - Explanation and Examples - The Story of ...
990×911
storyofmathematics.com
Line of Reflection - Explanation and Exampl…
1094×322
chegg.com
Solved Find the matrix A representing the reflection about | Chegg.com
1024×329
chegg.com
Solved Find the 2 times 2 reflection matrix about the line | Chegg.com
997×580
numerade.com
find the form of the matrix for reflection about the line l with slop…
420×99
chegg.com
Solved Find the matrix A of the reflection in the line L in | Chegg.c…
1394×648
chegg.com
Solved Find the matrix A representing the reflection | Chegg.com
1532×300
chegg.com
Solved Find the matrix A of the reflection in the line L | Chegg.com
某些结果已被隐藏,因为你可能无法访问这些结果。
显示无法访问的结果
查看更多图片
为你推荐的项目
广告
报告不当内容
请选择下列任一选项。
无关
低俗内容
成人
儿童性侵犯
反馈